• Предмет: Алгебра
  • Автор: екатеринакатякатюшка
  • Вопрос задан 11 лет назад

помогите,пожалуйста,решить: 9+корень из 77/(корень из 11+корень из 7)в квадрате

Ответы

Ответ дал: Аноним
0

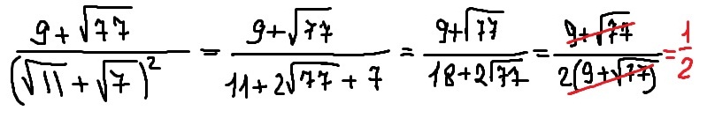
см.рис.

===================================================

 

Приложения:
Ответ дал: Cocklomax
0

9+√77 (√11+√7)²

Сумма квадратов

9+√77 (√11+√7)(√11+√7)

Сокращаем √7+√11 и √77

9  √11+√7

 

На мой взгляд так, мог ошибиться)

Приложения:
Вас заинтересует