• Предмет: Математика
  • Автор: zapaza36
  • Вопрос задан 10 лет назад

комплексные числа.
помогите пожалуйста.

Приложения:

Ответы

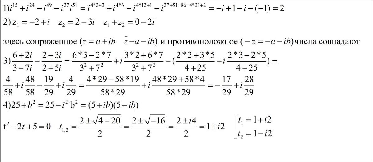
Ответ дал: Аноним
0
решение смотри во вложении
Приложения:
Ответ дал: zapaza36
0
спасибо большое.
Вас заинтересует