Ответы
Ответ дал:
0
Свойства высоты:
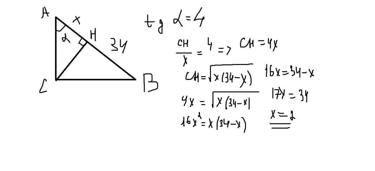
СH - среднее пропорциональное отрезков, на которые она делит гипотенузу
Тангенс - отношение противолежащего катета к прилежащему
СH - среднее пропорциональное отрезков, на которые она делит гипотенузу
Тангенс - отношение противолежащего катета к прилежащему
Приложения:

Вас заинтересует
2 года назад
2 года назад
7 лет назад
10 лет назад
10 лет назад
10 лет назад