• Предмет: Математика
  • Автор: viks20131nyastenka
  • Вопрос задан 10 лет назад

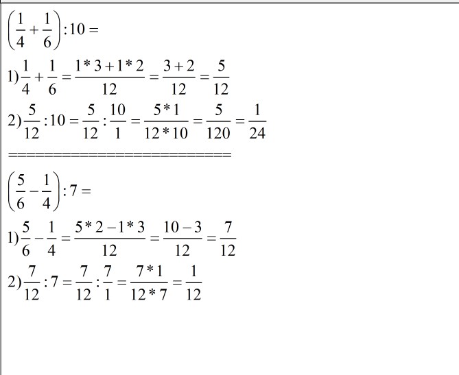
Помогите решить,(1/4+1/6):10; (5/6-1/4):7
Желательно все подробно расписать
Зарание спасибо

Ответы

Ответ дал: makarovnick2000
0
1/4+1/6=5/12
5/12 /10=1/24
Ответ дал: triolana
0
==============================================
Приложения:
Вас заинтересует