Ответы
Ответ дал:
0
т.к. подкоренное выражение может быть ≥0, то наименьшее значение достигается при значении равном нулю, т.е. 0+2=2
Ответ: наименьшее значение равно 2
Ответ: наименьшее значение равно 2
Ответ дал:
0
да
Ответ дал:
0
Так где верно?
Ответ дал:
0
ответ 3)
Ответ дал:
0
у тебя ответ есть?
Ответ дал:
0
я в интернете нашла и по примеру посмотрела
Ответ дал:
0
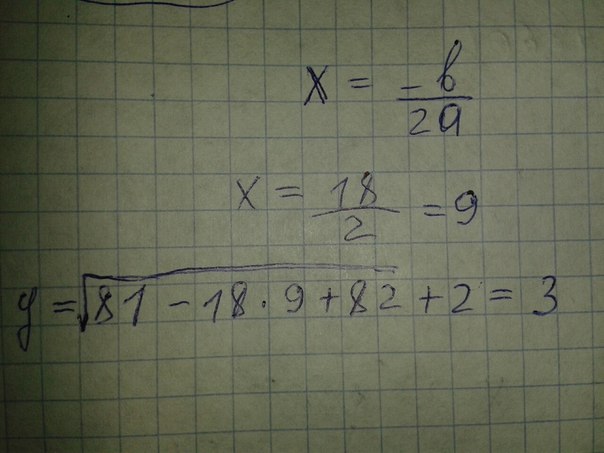
У меня так. Решил так как знаю
Приложения:

Вас заинтересует
2 года назад
2 года назад
7 лет назад
10 лет назад
10 лет назад
10 лет назад