Ответы
Ответ дал:
0
\\\\\\\\\\\\\\\
Приложения:

Ответ дал:
0
спасибо большое
Ответ дал:
0
4-ое задание так не решается же
Ответ дал:
0
Решается
Ответ дал:
0
Произведение равно нулю если хотябы один из множителей равен нулю мы не знаем какой именно равен нулю приравниваем оба
Ответ дал:
0
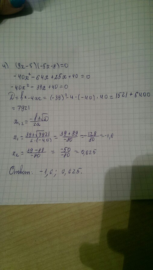
Вот решение четвертого задания)
Приложения:

Ответ дал:
0
спасибо большое
Ответ дал:
0
Так решается только решение того кто ответил первый было рациональным вы только себе усложнили .вы решили оба правильно ответы получились одинаковые .
Ответ дал:
0
Я привыкла так решать, да и у нас в лицее только так решается.
Ответ дал:
0
а у нас в школе так
Вас заинтересует
2 года назад
7 лет назад
7 лет назад
10 лет назад
10 лет назад
10 лет назад
10 лет назад