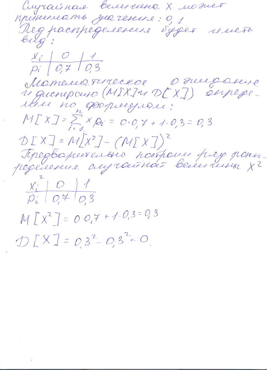
построить ряд распределения и функцию распределения случайного числа попаданий мячом в корзину при пробном броске, если вероятность попадание мячом в
корзину при одном броске р=0,3
Ответы
Ответ дал:
0
Решение в прикрепленном файле
Приложения:

Ответ дал:
0
Спасибо!!
Вас заинтересует
2 года назад
2 года назад
7 лет назад
7 лет назад
10 лет назад
10 лет назад
10 лет назад
10 лет назад