• Предмет: Математика
  • Автор: рома20022002
  • Вопрос задан 10 лет назад

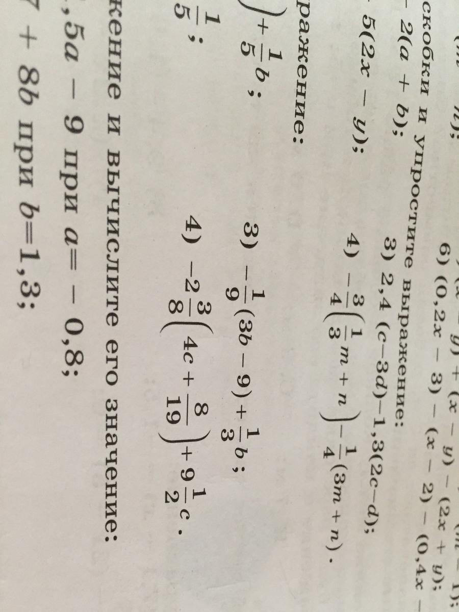
Помогите плз 3,4 пример заранее спс

Приложения:

Ответы

Ответ дал: 1asasas
0
3) =-1/3b+1+1/3b=1
4) =-19/8*4c-1+19/2 c=-1
Ответ дал: Аноним
0
3)- frac{1}{9}(3b-9)+ frac{1}{3} b= -frac{1}{3} b+1+frac{1}{3} b=1 \
4) -2 frac{3}{8}  (4c+ frac{8}{19} )+9 frac{1}{2} c=- frac{19}{8}  (4c+ frac{8}{19} )+9 frac{1}{2} c= \ 
-9 frac{1}{2} c-1+9 frac{1}{2} c=-1 \
Ответ дал: Аноним
0
Если не понятно, обновите стр
Ответ дал: рома20022002
0
я тебе бан кину
Вас заинтересует