• Предмет: Математика
  • Автор: pavellol1hp
  • Вопрос задан 10 лет назад

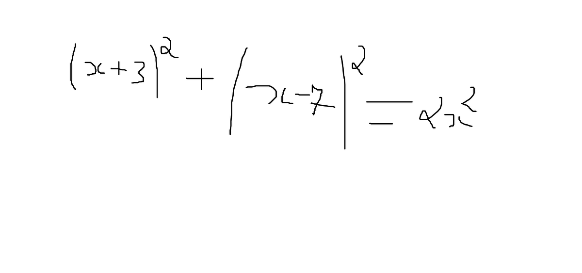
Всем привет,мне нужна ваша помощь!

Приложения:

Ответы

Ответ дал: Гипербола5амфотера
0
Посмотри на решение на рисунке
Приложения:
Вас заинтересует