• Предмет: Математика
  • Автор: AhnSoHee
  • Вопрос задан 10 лет назад

Помогите решить, я что-то не могу..
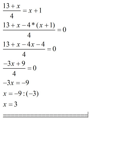
13+х/4=х+1

Ответы

Ответ дал: triolana
0
==========================================
Приложения:
Ответ дал: vlesya131
0
13+х/4=х+1
4x+4=13+x
3x=9
x=3
Приложения:
Вас заинтересует