• Предмет: Алгебра
  • Автор: vasilypupkin
  • Вопрос задан 11 лет назад

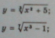
Найдите область определения функции:

 

 

Приложения:

Ответы

Ответ дал: Гоша68
0

1) вся числовая ось оба примера

2) x^2+4x-12>=0

(x+6)(x-2)>=0

x<=-6 U x>=2

Вас заинтересует