• Предмет: Алгебра
  • Автор: ПуфыстыйКволик
  • Вопрос задан 10 лет назад

Помогите пожалуйста решить:
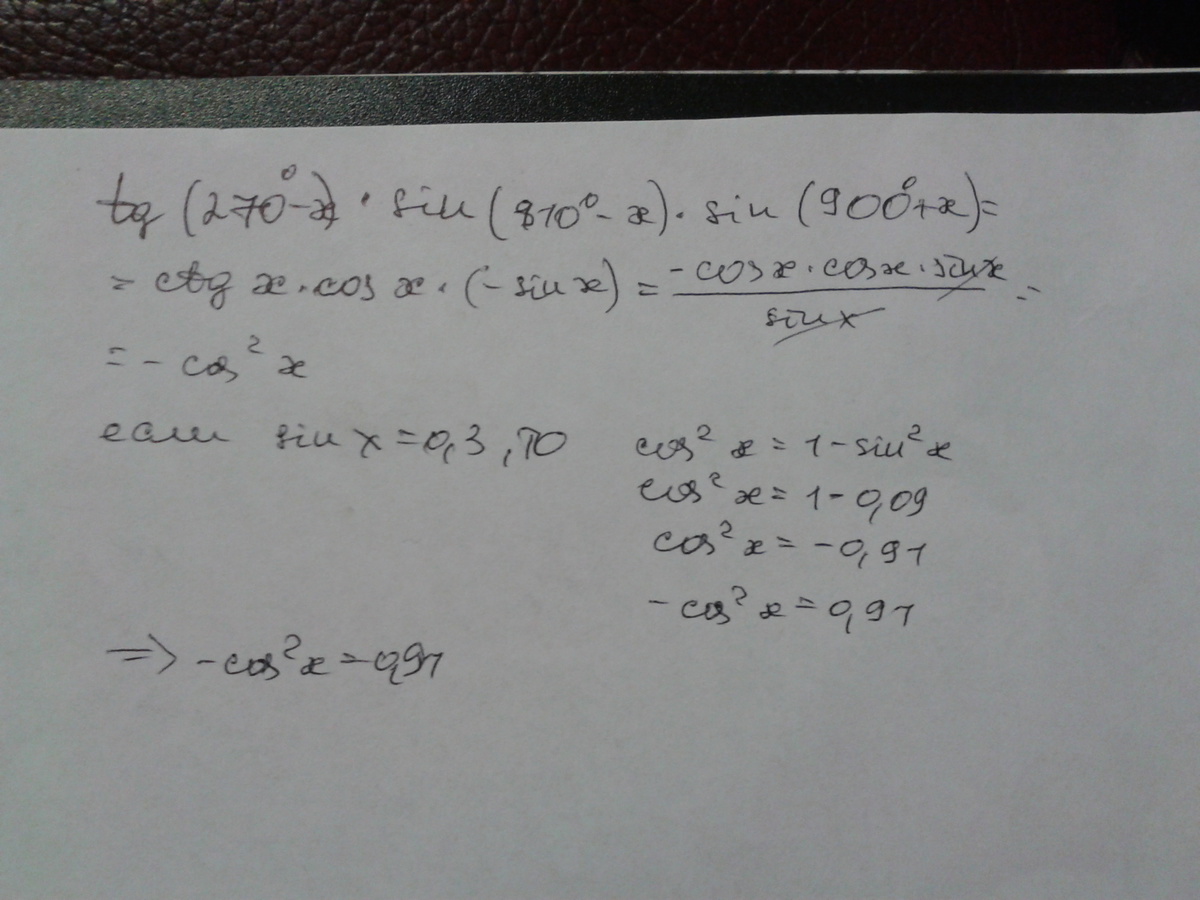
 sin(450+x) * cos(540+x) * cos(990-x) , если sin x = 0,9

Ответы

Ответ дал: irinan2014
0
Всё решаем по формулам приведения...
Приложения:
Вас заинтересует