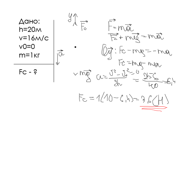
Тело падает без начальной скорости с высоты 20 м и в момент падения на землю имело скорость 16 м/с. Масса тела равна 1 кг. Определите среднюю силу сопротивления воздуха при падении (в Hьютонах)
Ответы
Ответ дал:
0
чувствую себя дурой, хд
_____________________________
Приложения:

Вас заинтересует
2 года назад
2 года назад
8 лет назад
8 лет назад
10 лет назад
10 лет назад