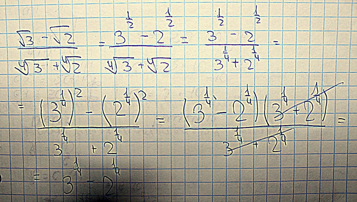
Упростите выражение: (Корень из 3 минус Корень из 2) поделить на Корень 4 степени из 3 плюс Корень 4 степени из 2.
Ответы
Ответ дал:
0
- это уже не имеет смысла(корень из отрицательного числа не бывает) => выражение не имеет смысла
Ответ дал:
0
у меня получилось не так я конечно не знаю проходила ты это или нет))вы проходили степени с дробным показателем?
Приложения:

Ответ дал:
0
Вас заинтересует
8 лет назад
10 лет назад
10 лет назад