Ответы
Ответ дал:
0
А1. 1)
Подставь число 3 вместо х и число (-5) вместо у
А2. 4)
Действуем по такому же принципу
А3. 2)
И опять тот же принцип)
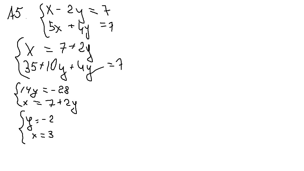
А5. 1)
Во вложении я решила эту систему. И нашла корни.
х=3
у=-2
Следовательно, 3*(-2)=-6
Подставь число 3 вместо х и число (-5) вместо у
А2. 4)
Действуем по такому же принципу
А3. 2)
И опять тот же принцип)
А5. 1)
Во вложении я решила эту систему. И нашла корни.
х=3
у=-2
Следовательно, 3*(-2)=-6
Приложения:
Ответ дал:
0
спасибо большое тебе ❤
Ответ дал:
0
Пожалуйста)
Вас заинтересует
3 года назад
8 лет назад
11 лет назад