• Предмет: Физика
  • Автор: Nourta
  • Вопрос задан 10 лет назад

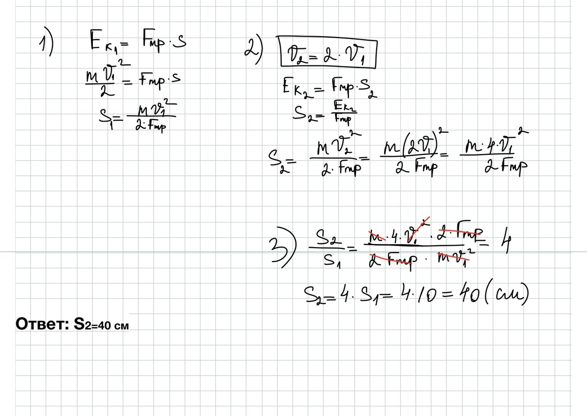
Пуля, летящая с некоторой скоростью , углубляется в дощатый барьер на глубину 10см.
На сколько углубится в этот же барьер пуля, имеющая вдвое большую скорость, если сила сопротивления неизменна? ( Ответ в см )

Желательно с Дано.

Ответы

Ответ дал: Iska1996
0
Решение во вложении .............................
Приложения:
Ответ дал: Nourta
0
Еще раз?)
Ответ дал: Nourta
0
Вижу)
Ответ дал: Nourta
0
Не мог бы дано написать?)
Ответ дал: Iska1996
0
Дано: S1=10 см
Ответ дал: Nourta
0
Спасибо, посмотри я еще одну задачу выложила, заранее спасибо)
Вас заинтересует