• Предмет: Математика
  • Автор: Vatsson
  • Вопрос задан 10 лет назад

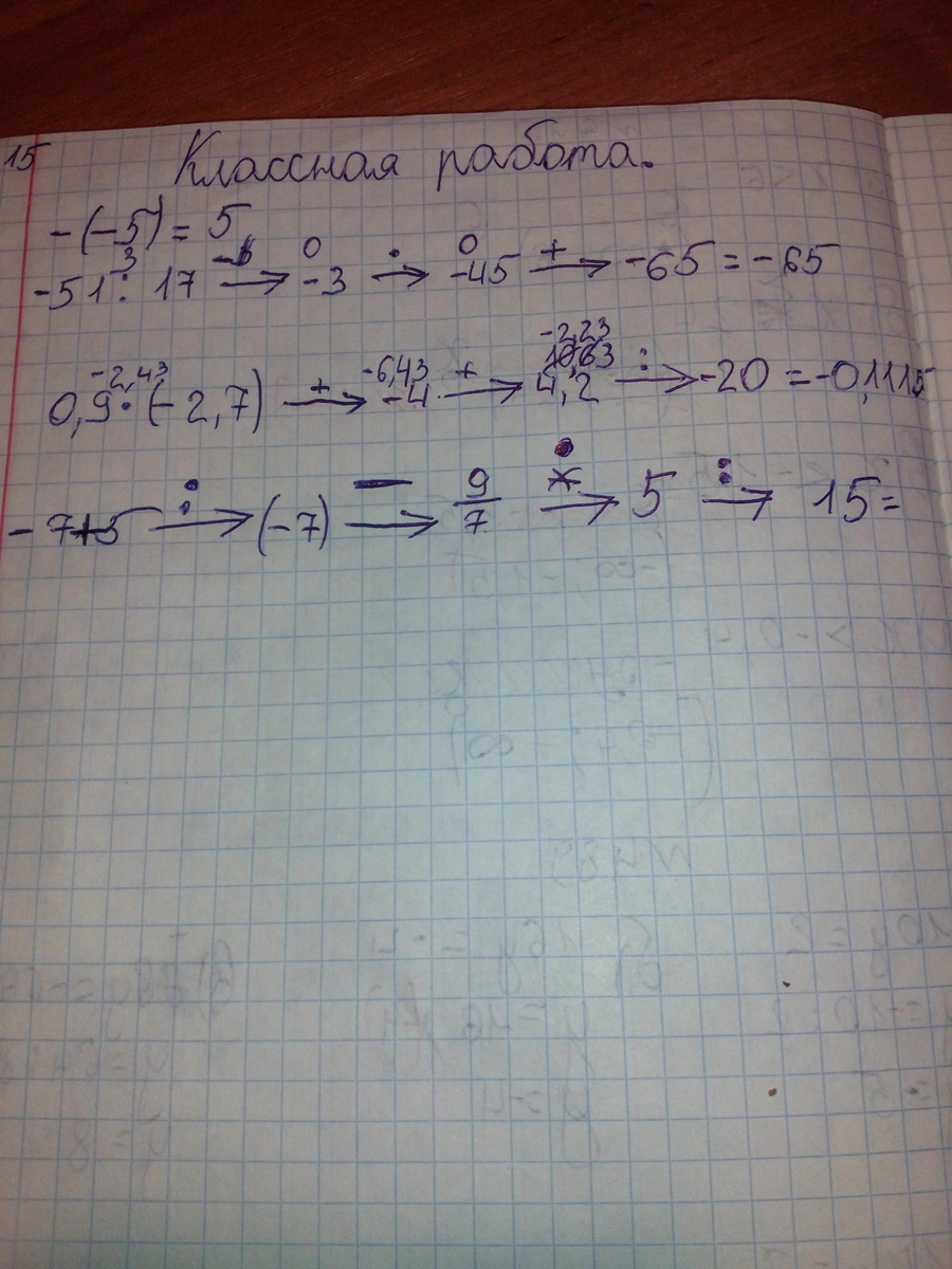
Последний пример
что означают стрелки
и решение
Пожалуйста

Приложения:

Ответы

Ответ дал: naidagiraeva0
0
вот последний пример

Приложения:
Ответ дал: naidagiraeva0
0
в последнем примере получится так :2/7(дробь две седьмых);1;5;1/3(дробь одна треть)
Ответ дал: naidagiraeva0
0
понятно?
Ответ дал: Vatsson
0
а могли бы вы весь пример записать если вам не трудно :)
Ответ дал: naidagiraeva0
0
хорошо,пару минут подожди
Ответ дал: naidagiraeva0
0
все написала
Вас заинтересует