Помогите пж-та(карточка)
нужно с 3 по 5
___________________
спасибо за любые попытки решить)
Приложения:

Ответы
Ответ дал:
0
1) Возьмем равнобедренный треугольник ABC и построим высоту AH.. Рассмотрим треугольник AHB
По теореме Пифагора BH^2=FD^2-AH^2=15^2-9^2=225-81=144; BH=12. Так как высота равнобедренного треугольника является и медианой то:
Основание АВС=12*2=24 см
2) Правильность этого задания я не гарантирую:
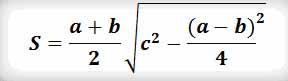
Существует формула площади равнобедренной трапеции через стороны:
Формула в приложенном файле
S=(5+17)/2* √10^2- (17-5)^2/4=11*√100-144/4=11*√64=11*8=88
3) Пусть AB=X тогда BD=3X
AB^2+BD^2=BD^2
X^2+3*X^2=20^2=400
X^2=400/4=100
X=10
AB=10, BD=10*3=30
Площадь ABD=AB*BD/2=10*30/2=200
Эта же площадь равна BD*AH/2=S
Выразим отсюда AH=S/BD8*2=200/20*2=20
AH=20
Приложения:

Ответ дал:
0
После проверки напишите результат, пожалуйста
Ответ дал:
0
Решения проверили?
Вас заинтересует
2 года назад
2 года назад
7 лет назад
7 лет назад
10 лет назад
10 лет назад
10 лет назад