Ответы
Ответ дал:
0
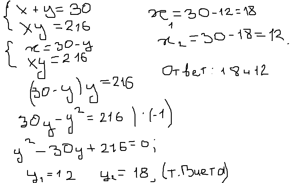
Числа : 18 и 12
я решила по программе 9 класса
не знаю,поймешь или нет
но ответ точно правильный)
я решила по программе 9 класса
не знаю,поймешь или нет
но ответ точно правильный)
Приложения:

Вас заинтересует
2 года назад
7 лет назад
10 лет назад
10 лет назад