Ответы
Ответ дал:
0
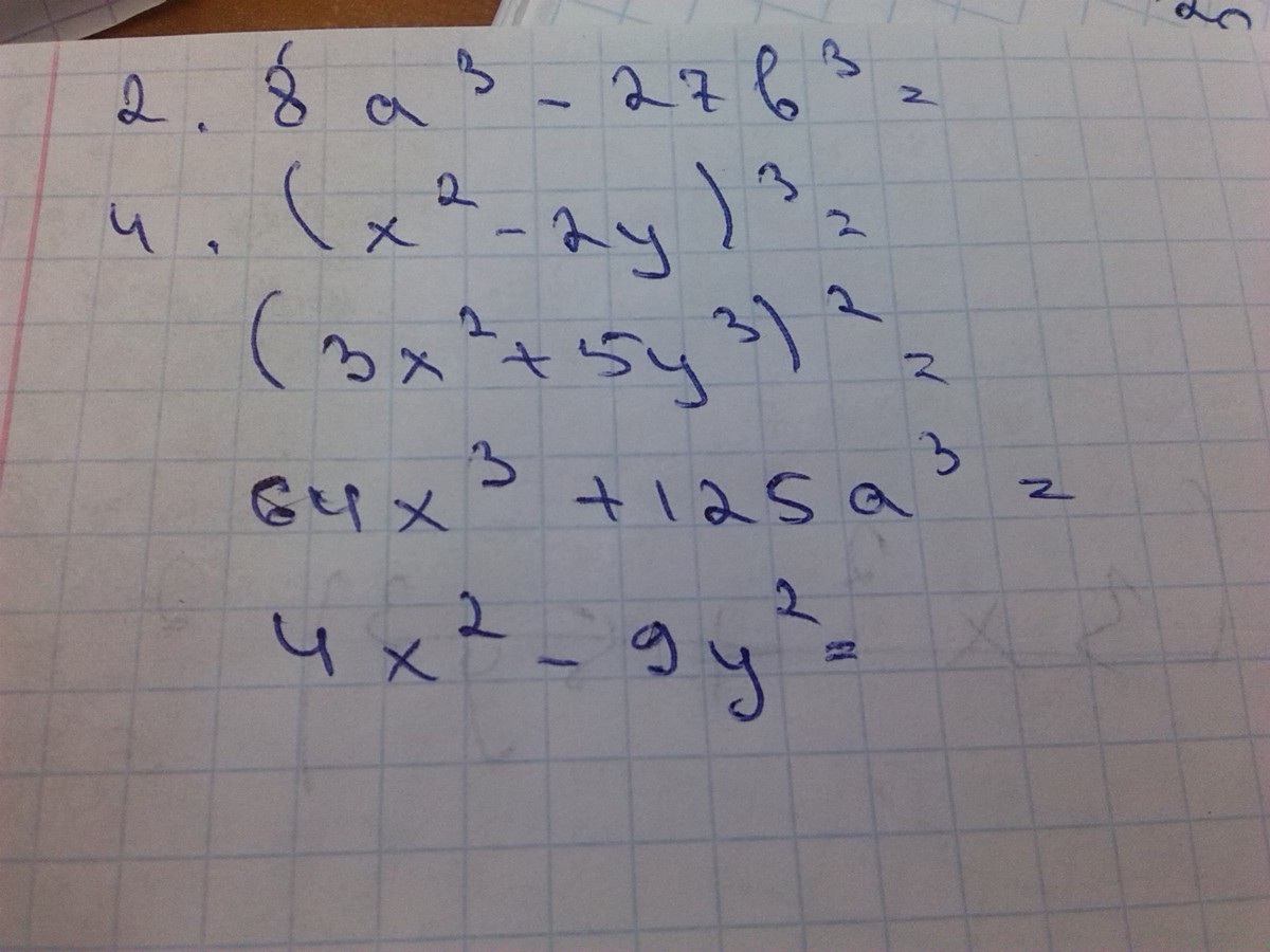
2. 8a³-27b³=(2a)³-(3b)³=(2a-3b)*(4a²+6ab+9b²)
4. (x²-2y)³=x⁵-6x⁴y+12x²y²-2y³
(3x²+5y³)²=9x⁴+2*3x²*5y³+25y⁵=9x⁴+30x²y³+25y⁵
64x³+125a³=(4x)³+(5a)³=(4x+5a)*(16x²-20xa+25a²)
4x²-9y²=(2x)²-(3y)²=(2x+3y)*(2x-3y)
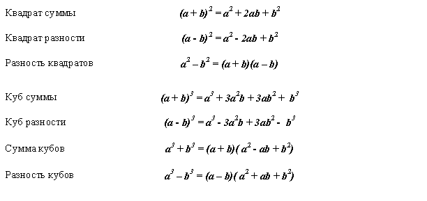
Все формулы из таблицы которую я к ответу прикрепил.
4. (x²-2y)³=x⁵-6x⁴y+12x²y²-2y³
(3x²+5y³)²=9x⁴+2*3x²*5y³+25y⁵=9x⁴+30x²y³+25y⁵
64x³+125a³=(4x)³+(5a)³=(4x+5a)*(16x²-20xa+25a²)
4x²-9y²=(2x)²-(3y)²=(2x+3y)*(2x-3y)
Все формулы из таблицы которую я к ответу прикрепил.
Приложения:
Вас заинтересует
2 года назад
8 лет назад
8 лет назад
10 лет назад
10 лет назад
11 лет назад