Ответы
Ответ дал:
0
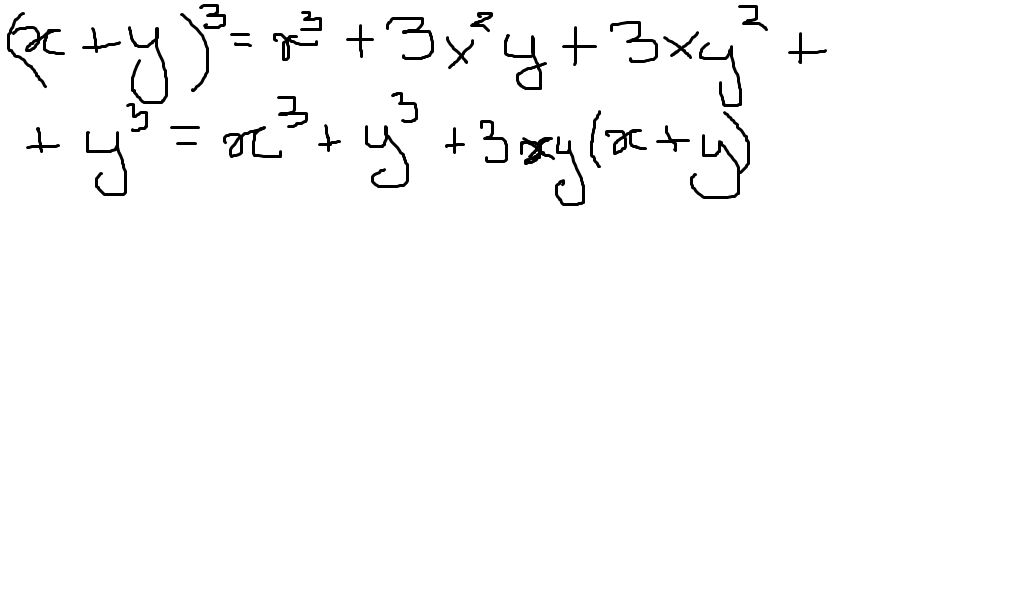
X^3+3X^2Y+3XY^2+Y^3 вооот таааакиииеее уууу ннаааас рееешения
Ответ дал:
0
это очень просто
надо лишь воспользоваться формулами сокращенного умножения ))
надо лишь воспользоваться формулами сокращенного умножения ))
Приложения:

Вас заинтересует
2 года назад
2 года назад
7 лет назад
10 лет назад
10 лет назад