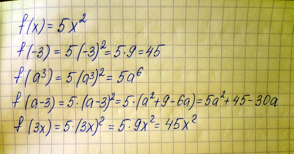
Дана функция y=f(x), где f(x)=5x^2. Найдите f(-3); f(a^3); f(a-3); f(3x).
Помогите пожалуйста, буду очень благодарна !
Ответы
Ответ дал:
0
ну не знаю, надеюсь хоть что то правильно ....
Приложения:

Ответ дал:
0
Спасибо вам большое !!!
Вас заинтересует
2 года назад
7 лет назад
7 лет назад
10 лет назад
10 лет назад