• Предмет: Алгебра
  • Автор: Трооня
  • Вопрос задан 10 лет назад

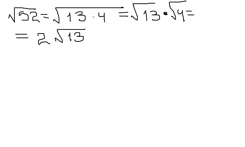
Вынесите множитель из - под знака корня 52

Ответы

Ответ дал: kuzya6949
0
Рассписываем под корнем (√4*13),а затем согласно правила выносим 2√13
Ответ дал: anechkaklimova
0
ответ во вложениях
)))
Приложения:
Ответ дал: Трооня
0
Спасибо огромное)
Вас заинтересует