• Предмет: Геометрия
  • Автор: sblirina1984
  • Вопрос задан 10 лет назад

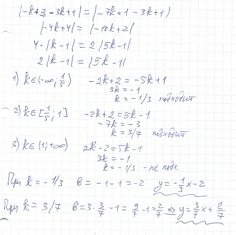
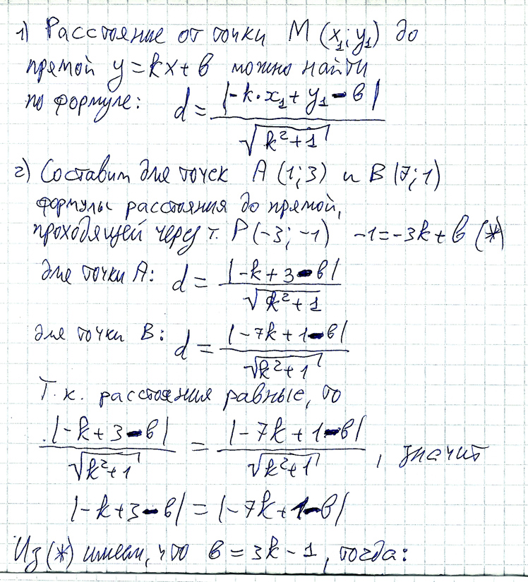
Через точку Р(-3;-1) провести прямую так, чтобы она прошла на одинаковом расстоянии от точек А(1;3) и В(7;1).

Ответы

Ответ дал: Zhiraffe
0
Строго говоря, таких прямых будет две. Решение в файлах. Будут вопросы, спрашивайте ))
Приложения:
Вас заинтересует