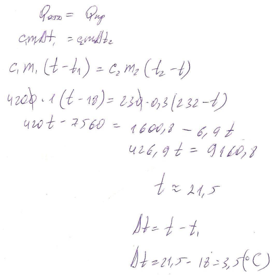
В 1 л. воды при температуре 18°С вылили 300 г расплавленного олова, имеющего температуру 232°С. На сколько градусов при этом нагрелась вода?
Ответы
Ответ дал:
0
надеюсь понятно будет....
Приложения:

Вас заинтересует
2 года назад
2 года назад
8 лет назад
8 лет назад
10 лет назад
10 лет назад
10 лет назад