• Предмет: Алгебра
  • Автор: ГуФ228
  • Вопрос задан 11 лет назад

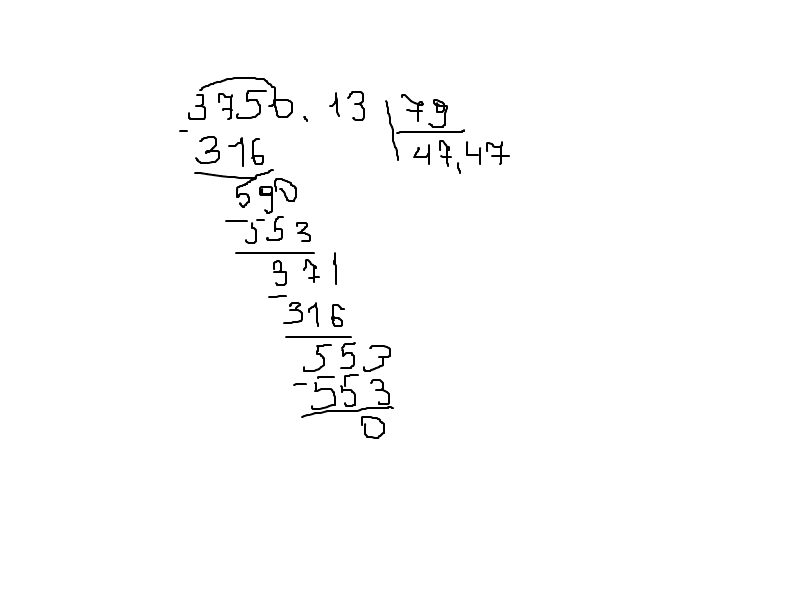
решить пример 375,013:7,9 Столбиком!!

Ответы

Ответ дал: KaterinaGaydar
0

Чтобы разделить десятичную дробь на другую десятичную дробь, сначала нужно в каждой из них перенести запятую на столько знаков вправо, сколько содержится в делителе (в данном случае делитель 7,9) Получаем: 3750,13:79 Теперь делим. Сначала используем то, что ДО запятой. Затем ставим зпт и продолжаем делить. Должно получится 47,47 Вот вам столбиком :)

Приложения:
Вас заинтересует