Ответы
Ответ дал:
0
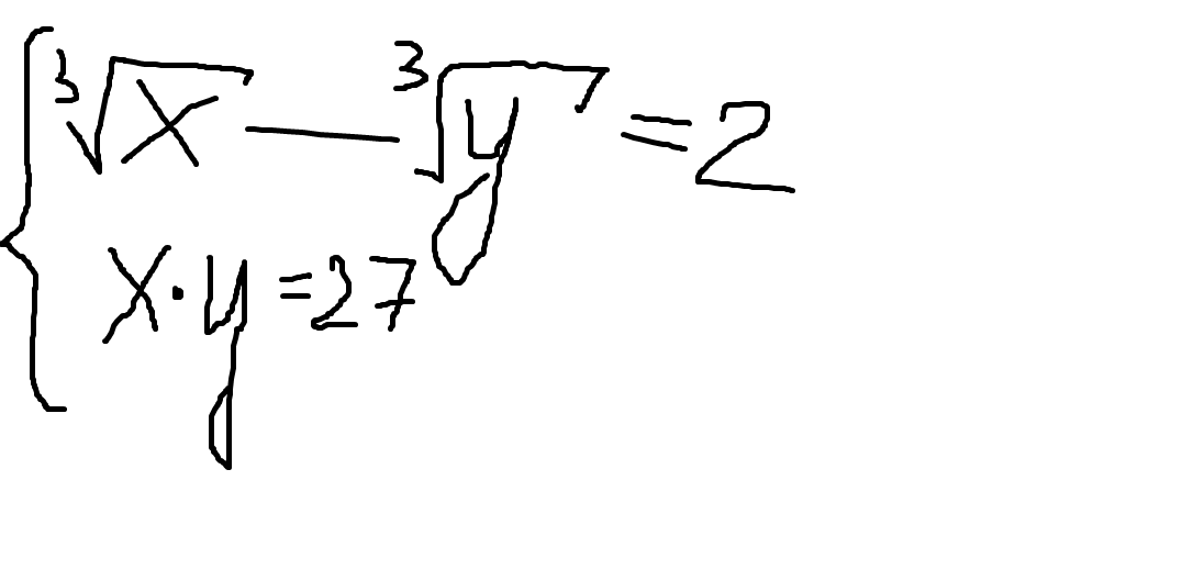
∛x - ∛y = 2
xy = 27
y = 27/x
∛x - ∛(27/x) = 2
y = 27/x
∛x - 3∛(1/x) = 2 / *(∛x)
(∛x)² - 2(∛x) - 3 = 0
∛x = z
z² - 2z - 3 = 0
z₁ = - 1
z₂ = 3
∛x = - 1
x₁ = - 1
∛x = 3
x₂ = (3)³
x₂ = 27
y₁ = 27/(-1)
y₁ = - 27
y₂ = 27/27
y₂ = 1
Ответ: (- 1; - 27) (27;1)
xy = 27
y = 27/x
∛x - ∛(27/x) = 2
y = 27/x
∛x - 3∛(1/x) = 2 / *(∛x)
(∛x)² - 2(∛x) - 3 = 0
∛x = z
z² - 2z - 3 = 0
z₁ = - 1
z₂ = 3
∛x = - 1
x₁ = - 1
∛x = 3
x₂ = (3)³
x₂ = 27
y₁ = 27/(-1)
y₁ = - 27
y₂ = 27/27
y₂ = 1
Ответ: (- 1; - 27) (27;1)
Вас заинтересует
3 года назад
3 года назад
8 лет назад
8 лет назад
10 лет назад
11 лет назад