• Предмет: Алгебра
  • Автор: 12afalizamb
  • Вопрос задан 10 лет назад

Помогите решить показательные уравнения и систему показательных уравнений
В скобках указываю степень ( показатель)
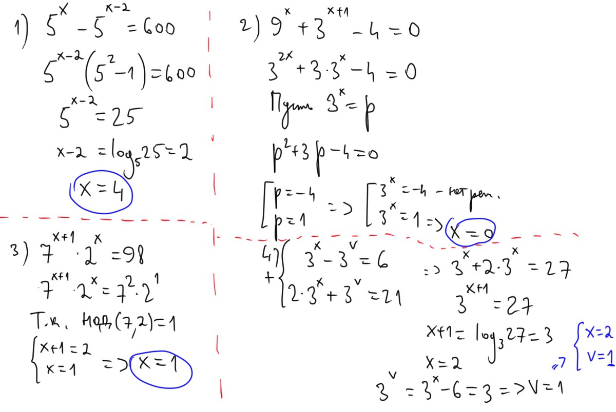
1).5 (х)-5(х-2)=600
2).9(х)+3(х+1)-4=0
3). 7 (х+1×2(х)=98
Система. Знак системы будет {
{3 (х)-3(v)=6
{2×3 (х)+3(v)=21.

Ответы

Ответ дал: nikolac
0
Решение на картинке.
Приложения:
Вас заинтересует