• Предмет: Алгебра
  • Автор: moiseenkonasta
  • Вопрос задан 10 лет назад

помогите
найти производную функции
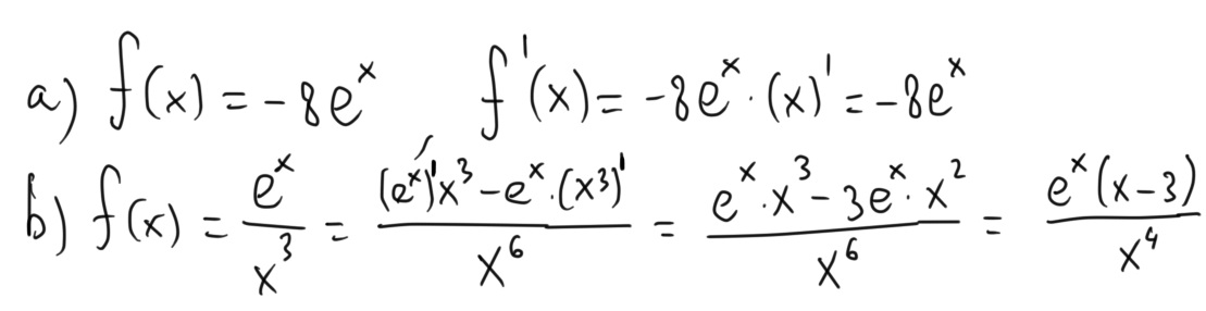
а) f(x)= -8e^x
б) f(x)=e^x/x^3

Ответы

Ответ дал: nikolac
0
Решение на картинке.
Приложения:
Вас заинтересует