найти значение производной заданной функции в указанной точке x0
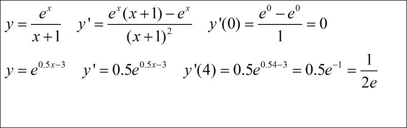
а) y=e^x/x+1 x0=0
б) y=e^0,5x-3 x0=4
Ответы
Ответ дал:
0
решение смотри во вложении
Приложения:

Вас заинтересует
2 года назад
7 лет назад
7 лет назад
10 лет назад
10 лет назад