• Предмет: Математика
  • Автор: marimatiz
  • Вопрос задан 10 лет назад

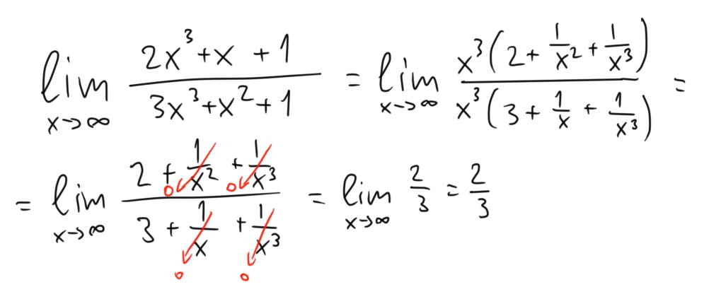
50 баллов! Срочно помогите плиз!! Найдите пределы функций: lim стремится к бесконечности, 2x^3+x+1/3x^3+x^2+1

Ответы

Ответ дал: nikolac
0
Решение на картинке.
Приложения:
Вас заинтересует