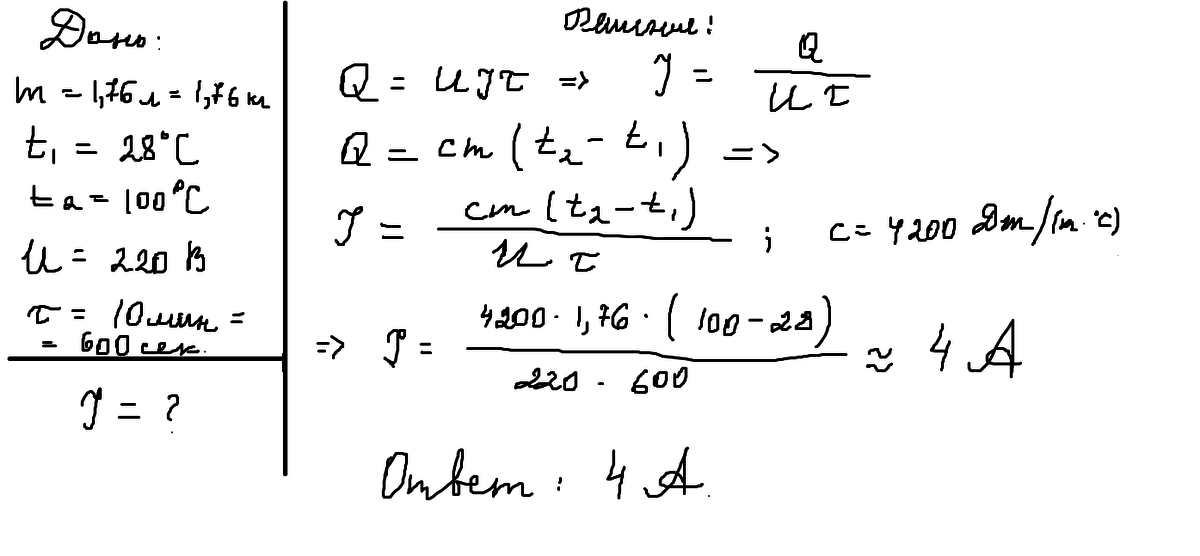
Кипятильник нагревает 1,76 л.воды от 28(градусов цельси) до кипения за 10 мин. . Определите силу тока в кипятильнику ,если напряжение в круге 220В.. Считай ,что все тепло какое выделяется в проводнике идет на нагревание воды.
Ответы
Ответ дал:
0
Решение на картинке!
Приложения:

Вас заинтересует
2 года назад
7 лет назад
7 лет назад
10 лет назад
10 лет назад
10 лет назад