• Предмет: Алгебра
  • Автор: afanasieva97
  • Вопрос задан 10 лет назад

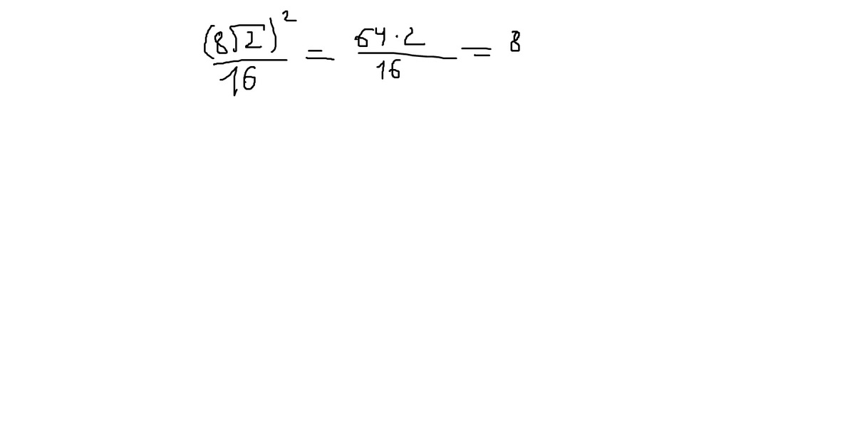
найдите значение выражения (8 корень из 2)в квадрате деленное на 16?

Ответы

Ответ дал: Prosto145
0
у двойки корень убирается если в квадрате.
Приложения:
Вас заинтересует