Ответы
Ответ дал:
0
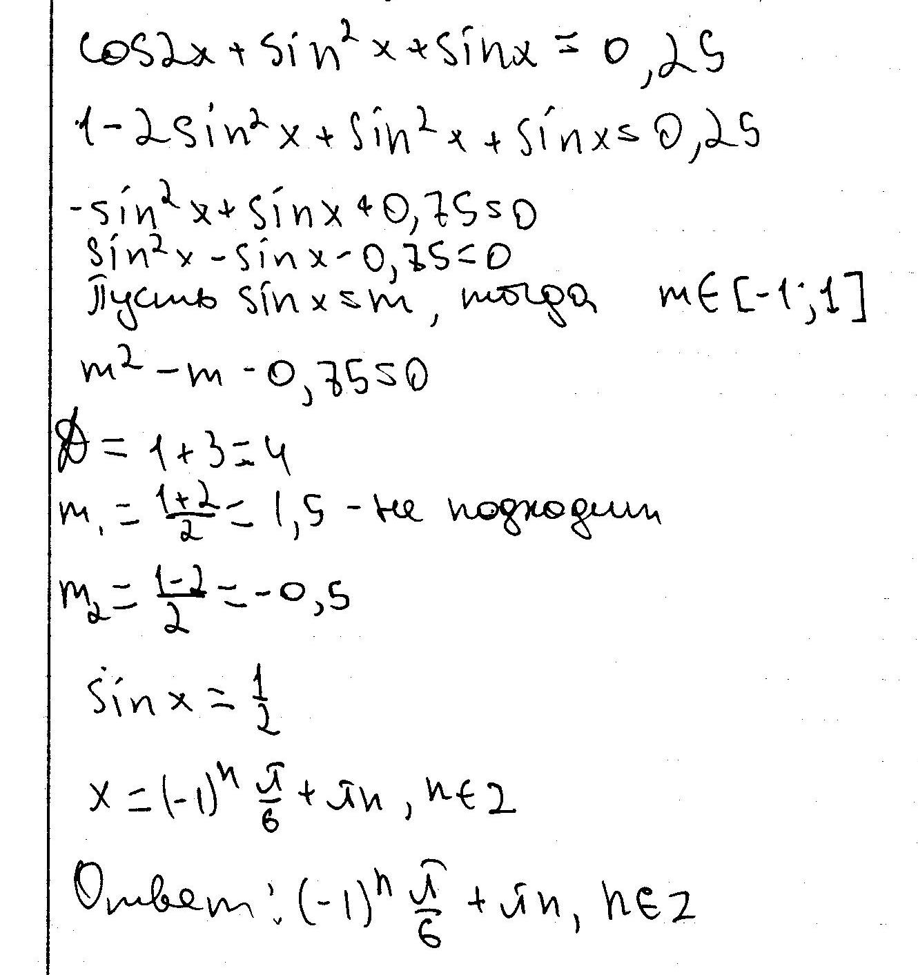
cos2x=1-2sin^2x
1-2sin^2x +sin^2x +sinx =0.25
-sin^2x+sinx+0.75=0
sinx=t
-t^2+t+0.75=0
D=1+3=4,D>0
t1=-1;t2=1.5-решений нет
sinx=-1
x=-п/2+2пК, К(принадлежит)Z
Ответ дал:
0
На этом месте должно быть 20 знаков (не обращай внимания =))
Приложения:

Вас заинтересует
2 года назад
2 года назад
8 лет назад
10 лет назад
10 лет назад
10 лет назад