Прямой проводник длинной l=40см движется в однородном магнитном поле со скоростью 10м/с перпендикулярно к линиям индукции. Разность потенциалов на концах проводника U=1,2В. вычислите индукцию поля
Ответы
Ответ дал:
0
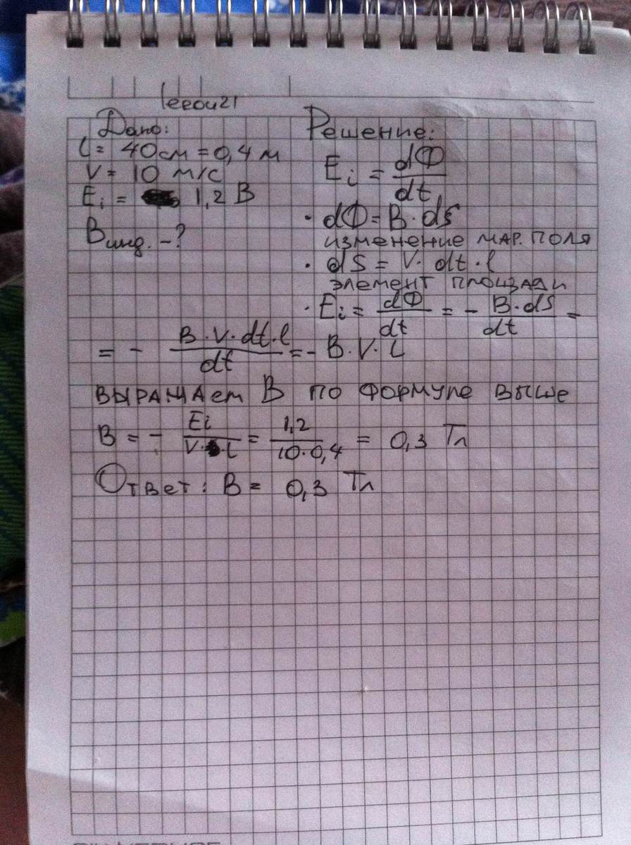
Решение в прикрепленном файле.
Не забывайте сказать "Спасибо"! и, если ответ удовлетворил, то выберите его как "Лучший" - Вам вернется часть баллов!
Бодрого настроения и добра!
Успехов в учебе!
Не забывайте сказать "Спасибо"! и, если ответ удовлетворил, то выберите его как "Лучший" - Вам вернется часть баллов!
Бодрого настроения и добра!
Успехов в учебе!
Приложения:
Ответ дал:
0
Дано L=0,4 м V=10 м/с U=е=1,2 В B- ?
ЭДС в движущемся проводнике
е=U=V*B*L
B=U/V*L=1,2/10*0,4=0,3 Тл
Ответ B=0,3 Тл
100% гарантии
не забывайте мыть руки перед едой
если ответ XУДШИЙ , отметь
шутка
ЭДС в движущемся проводнике
е=U=V*B*L
B=U/V*L=1,2/10*0,4=0,3 Тл
Ответ B=0,3 Тл
100% гарантии
не забывайте мыть руки перед едой
если ответ XУДШИЙ , отметь
шутка
Приложения:
Вас заинтересует
3 года назад
3 года назад
8 лет назад
10 лет назад
11 лет назад