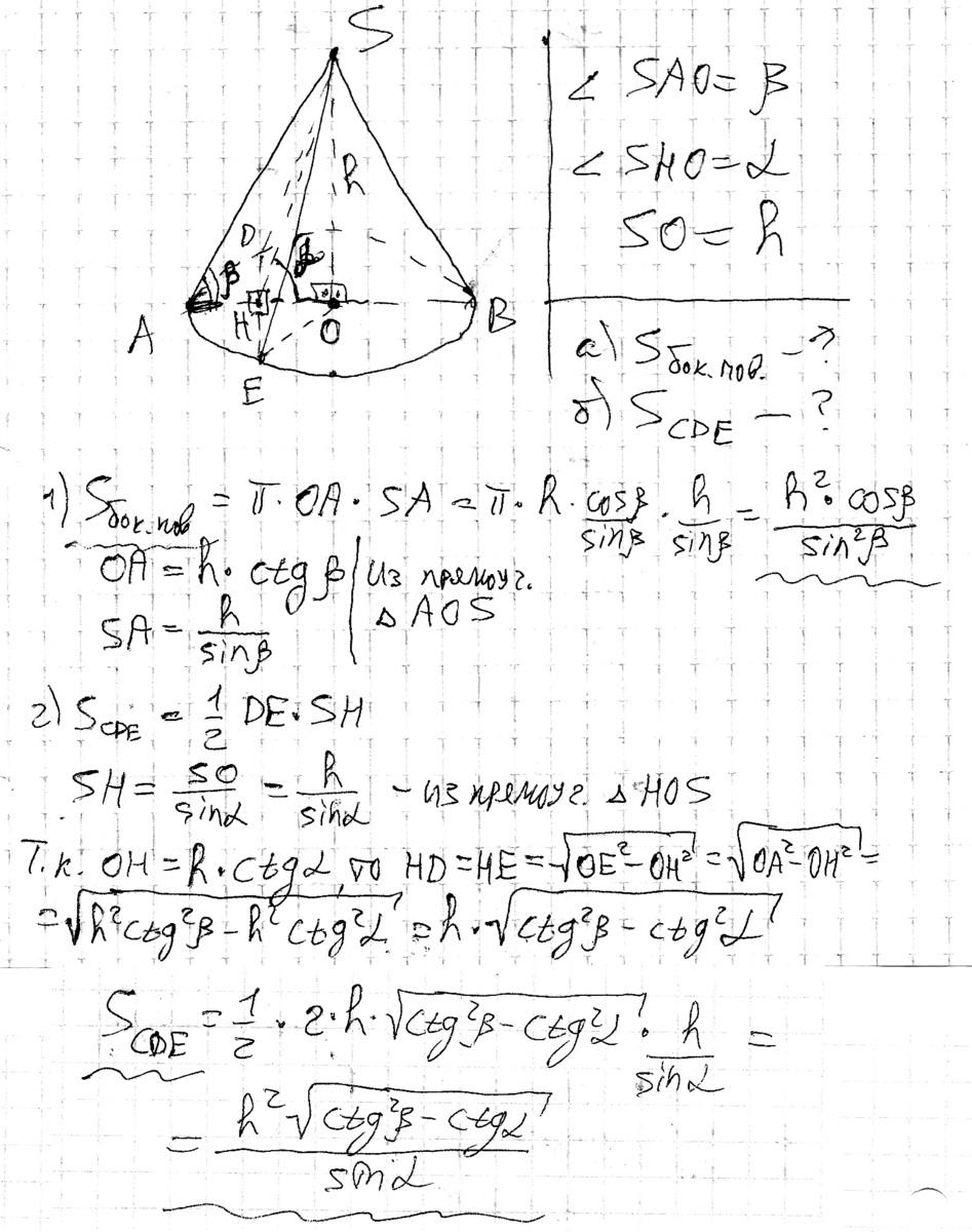
Через вершину конуса, высота которого равна h , проведено сечение. Плоскость сечения наклонена к плоскости основания под углом a . Образующая конуса составляет с плоскостью основания угол b . Найдите:
а) плоскость боковой поверхности конуса;
б) площадь сечения.
Ответы
Ответ дал:
0
Решение в файле. Будут вопросы, спрашивайте ))
Приложения:

Ответ дал:
0
Этот комментарий - часть решения. Обоснования: ОА - проекция образующей SA на плоскость основания, значит угол SAO - угол наклона образующей к плоскости основания. Радиус ОА перпендикулярен DE. Точка О равноудалена от концов хорды DE, значит ОН - серединный перпендикуляр к DE. ОН - проекция наклонной SH на плоскость основания, значит SH перпендикулярна DE. Значит угол SHO - линейный угол двугранного угла между плоскостью сечения и основанием.
Вас заинтересует
2 года назад
2 года назад
7 лет назад
10 лет назад
10 лет назад
10 лет назад