вычислите площадь фигуры,ограниченной линиями.
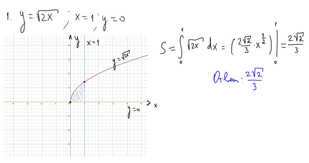
1. √2x, x=1 и y=0
2. y=x^2/4 и y=3-(x^2/2)
3. y=sinx, y=cosx, x=pi/4 и x=5pi/4
Ответы
Ответ дал:
0
Решение на картинках.
Приложения:



Ответ дал:
0
Площадь фигуры равна 8 разумеется)
Приложения:



Вас заинтересует
2 года назад
10 лет назад
10 лет назад
10 лет назад