• Предмет: Алгебра
  • Автор: 14422011
  • Вопрос задан 10 лет назад

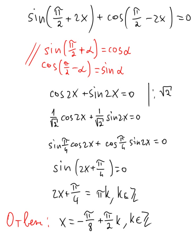
решите уравнение sin(п/2+2x)+cos(п/2-2x)=0

Ответы

Ответ дал: nikolac
0
Решение на картинке.
Приложения:
Вас заинтересует