• Предмет: Химия
  • Автор: LenEro
  • Вопрос задан 11 лет назад

Осуществите цепочку химических превращений,составив уравнение реакций в молекулярном и ионном видах,назовите продукты реакций 

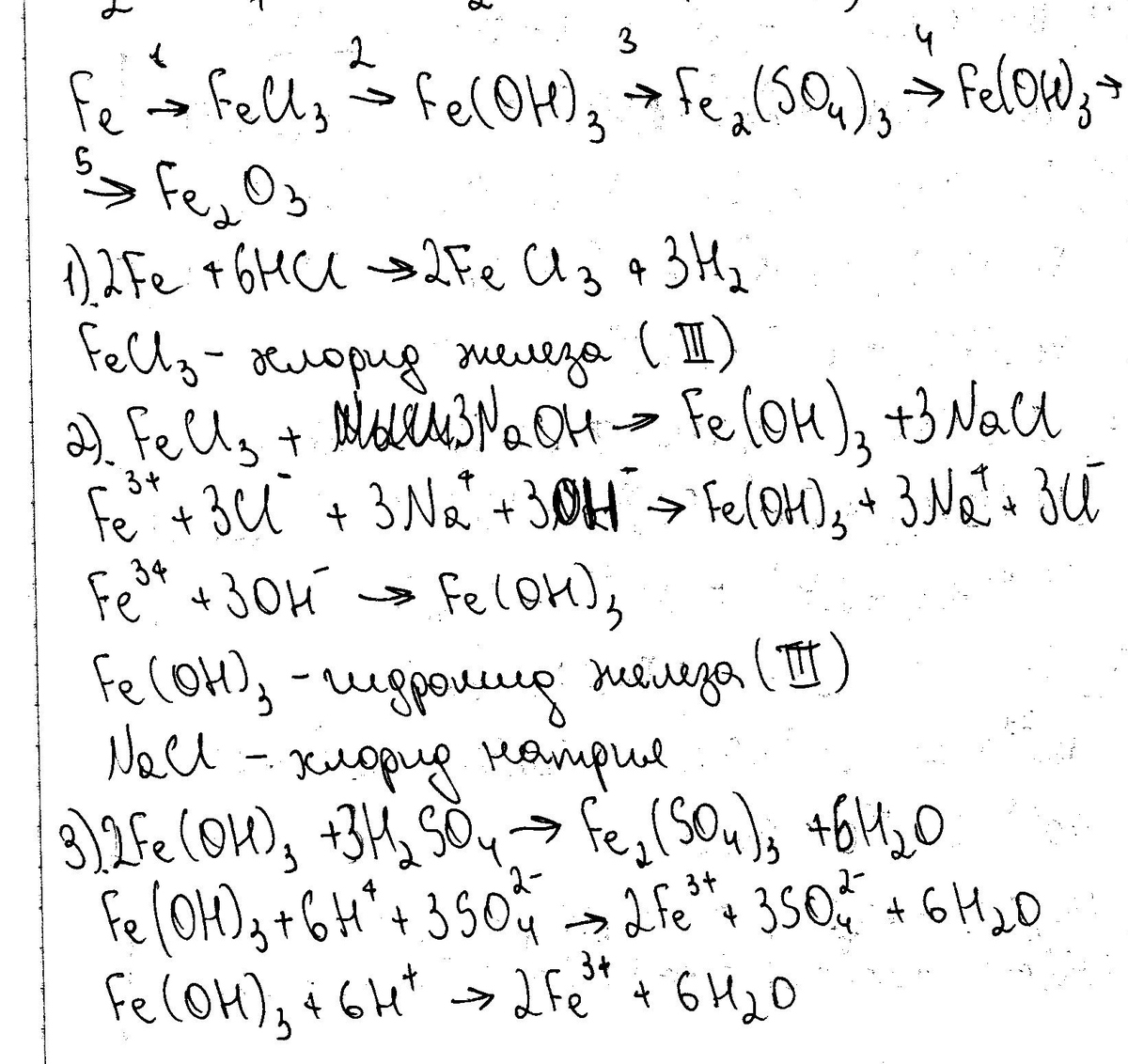
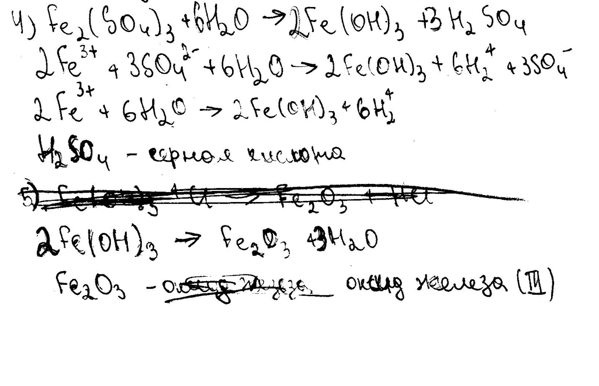
Fe->FeCl3->Fe(OH)3->Fe2(SO4)3->Fe(OH)3->Fe2O3

Ответы

Ответ дал: yliabritt
0

1)3(NO)Cl + Fe = FeCl3 + 3NO
2)FeCl3 + 3NaOH → Fe(OH)3↓ + 3NaCl
3)3H2SO4 + 2Fe(OH)3 = Fe2(SO4)3 + 6H2O
4)Fe2(SO4)3 + 3Ba(OH)2 → 2Fe(OH)3↓ + 3BaSO4↓
5)2Fe(OH)3 = Fe2O3 + 3H2O

Ответ дал: virtualaizer
0

_________________________________________________________-

Приложения:
Вас заинтересует