• Предмет: Алгебра
  • Автор: moiseenkonasta
  • Вопрос задан 10 лет назад

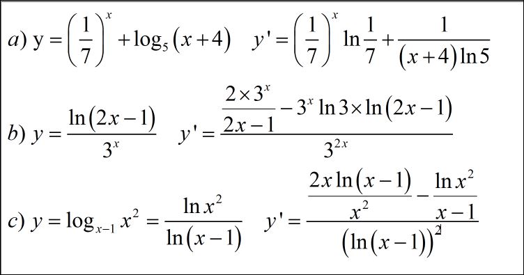
помогите пожалуйста
найти производную функции

Приложения:

Ответы

Ответ дал: Аноним
0
решение смотри во вложении
Приложения:
Вас заинтересует