• Предмет: Алгебра
  • Автор: Аноним
  • Вопрос задан 11 лет назад

Помогите найти три производные!

Приложения:

Ответы

Ответ дал: dtnth
0

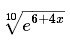
на рисунке только одна функция

sqrt[10] {e^{6+4x}}=e^{frac{6+4x}{10}}=e^{frac{2x+3}{5}};\ (e^{frac{2x+3}{5}})'=e^{frac{2x+3}{5}}*(frac{2x+3}{5})'=\ e^{frac{2x+3}{5}}*(frac{2}{5})=0.4sqrt[10] {e^{6+4x}}

 

Ответ дал: Аноним
0

первая  (e^(6+4x))^(1/10) ' = 2/5*(e^(2x+3))^(1/5)

вторая  (2/5*(e^(2x+3))^(1/5) ) ' = 4/25*(e^(2x+3))^(1/5)

третья   (4/25*(e^(2x+3))^(1/5)) ' = 8/125*(e^(2x+3))^(1/5)

Вас заинтересует