Ответы
Ответ дал:
0
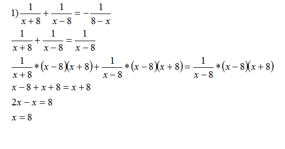
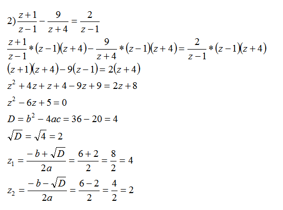
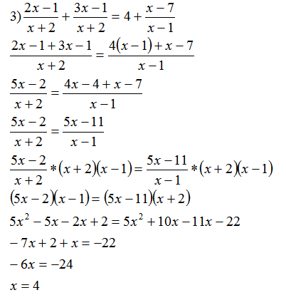
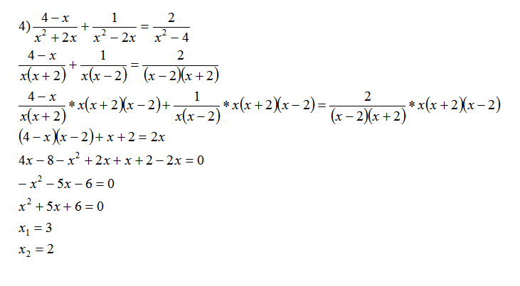
Всё...Думаю, понятно...
Приложения:




Вас заинтересует
2 года назад
7 лет назад
7 лет назад
10 лет назад
10 лет назад