• Предмет: Математика
  • Автор: виктори33
  • Вопрос задан 10 лет назад

Решите уравнения столбиком
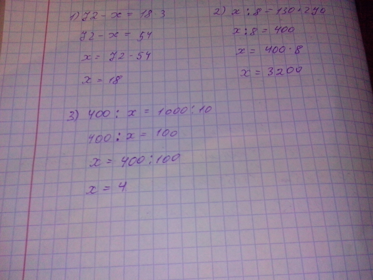
1)72- x=18*3
2)x:8=130+270
3)400:x=1000:10

Ответы

Ответ дал: elios99
0
уравнение очень легкие
Приложения:
Ответ дал: nersisyaan
0
1)18*3=54                                                                                                              72-54=18                                                                                                          x=18                                                                                                             2)130+270=400                                                                                                      400*8=3200                                                                                                 x=3200                                                                                                            3)1000/10=100                                                                                                  400/100=4                                                                                                        x=4
Приложения:
Вас заинтересует