• Предмет: Алгебра
  • Автор: bodya557
  • Вопрос задан 10 лет назад

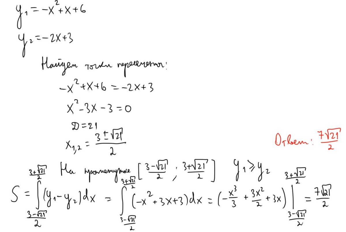
вычислите площадь земельного участка если на плоскости он ограничен линиями:y1=-x2(в квадрате) +x+6 и y2=-2x+3

Ответы

Ответ дал: nikolac
0
Решение на картинке.
Приложения:
Ответ дал: bodya557
0
спасибо огромное
Ответ дал: nikolac
0
Пожалуйста
Вас заинтересует