• Предмет: Алгебра
  • Автор: Базарова
  • Вопрос задан 11 лет назад

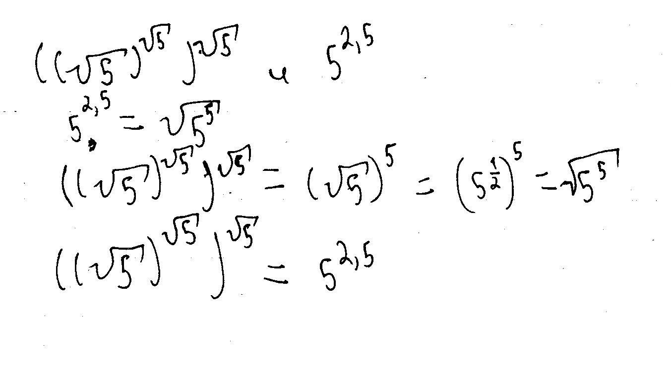
сравнить (>, < или =)

 

((sqrt{5})^{sqrt{5}} )^{sqrt{5}}   и  5^{2,5}

Ответы

Ответ дал: virtualaizer
0

_________________________________________________

 

Приложения:
Вас заинтересует