• Предмет: Математика
  • Автор: bainevk
  • Вопрос задан 10 лет назад

ПОМОГИТЕ ПОЖАЛУЙСТА!! СРОЧНО НУЖНО РЕШЕНИЕ
1)сокращение
2)

Приложения:

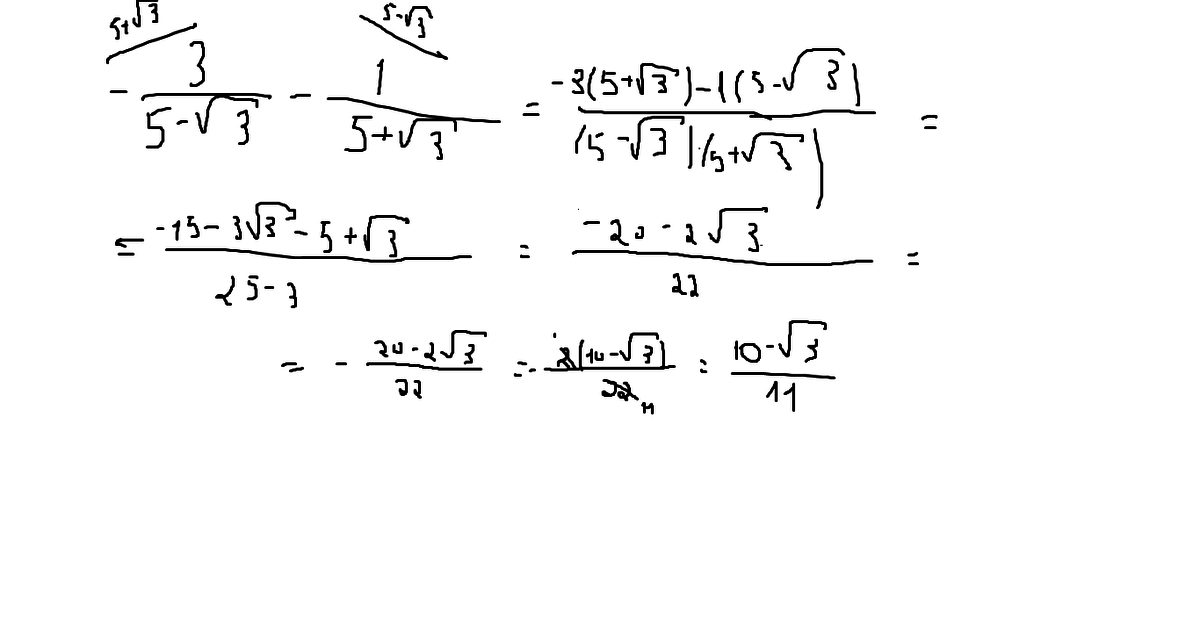
Ответы

Ответ дал: Alinochka1010
0
Смотри решение на фотографии
Приложения:
Вас заинтересует