Ответы
Ответ дал:
0
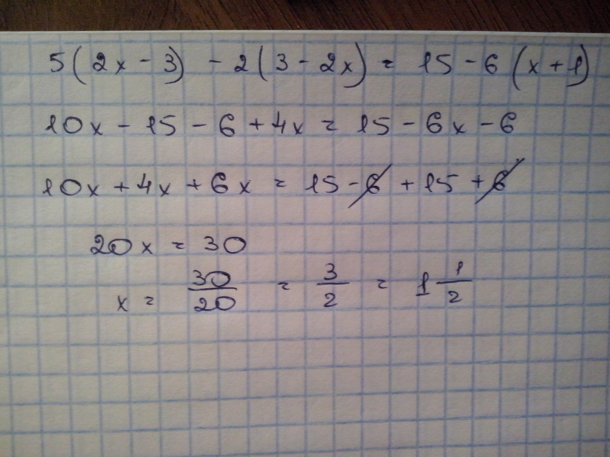
5(2x-3)-2(3-2x)=15-6(x+1)
10x-15-6+4x=15-6x-6
20x=9+21
20x=30
x=10
ответ; "10
10x-15-6+4x=15-6x-6
20x=9+21
20x=30
x=10
ответ; "10
Ответ дал:
0
.........................................
Приложения:

Вас заинтересует
2 года назад
2 года назад
7 лет назад
7 лет назад
10 лет назад
10 лет назад
10 лет назад