• Предмет: Математика
  • Автор: timaksi1997
  • Вопрос задан 10 лет назад

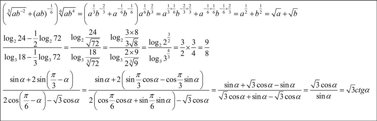
1)Упростить (свойства корней n степени) 2)Вычислить (логарифмы) 3)Упростить (триганометрия)
Все формулы подставлял, пытался делать, но не получается.
Буду очень сильно благодарен, если поможете.

Приложения:

Ответы

Ответ дал: Аноним
0
решение смотри во вложенииииииииииииииииииииииииииии
Приложения:
Ответ дал: timaksi1997
0
Благодарю.
Вас заинтересует