• Предмет: Математика
  • Автор: королева5566
  • Вопрос задан 10 лет назад

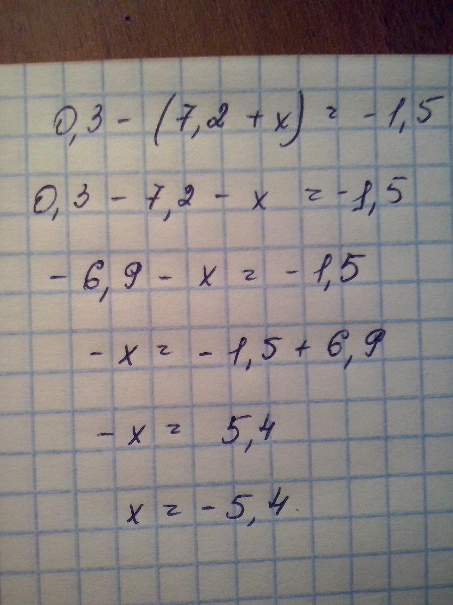
0,3-(7,2+х ) = -1,5
решите уровнение(желательно с обЪяснением !!!!!!!!!!!!!!!!!!)

Ответы

Ответ дал: Virtoria
0
.................................
Приложения:
Ответ дал: BesPalevaDa
0
0.3 - 7.2 - x - 1.5 = 0  (раскрыли скобки,перенесли все налево от знака равно)
-8.2 = х

Приложения:
Вас заинтересует