• Предмет: Алгебра
  • Автор: Аноним
  • Вопрос задан 10 лет назад

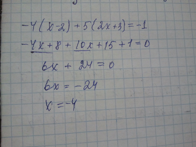
решите уравнение -4*(х-2)+5*(2х+3)=-1

Ответы

Ответ дал: Juliaa21
0
-4х+8+10х+15=-1
-4х+10х=-1-15-8
6х=-24
х=-24/6
х=-4
ответ:-4
Ответ дал: DIANKA367
0
вот решила))))))))))))
Приложения:
Вас заинтересует